Passer au contenu principal
Plateforme de Formation E-Learning
Vous êtes connecté anonymement (
Connexion
)
Français (fr)
English (en)
Français (fr)
عربي (ar)
Analyse Complexe (L2)
Chemin de la page
Accueil
/
►
Cours
/
►
Faculté des Sciences
/
►
Département de Mathématique.
/
►
Licence
/
►
Licence 2 ème Année
/
►
Ana Com
/
►
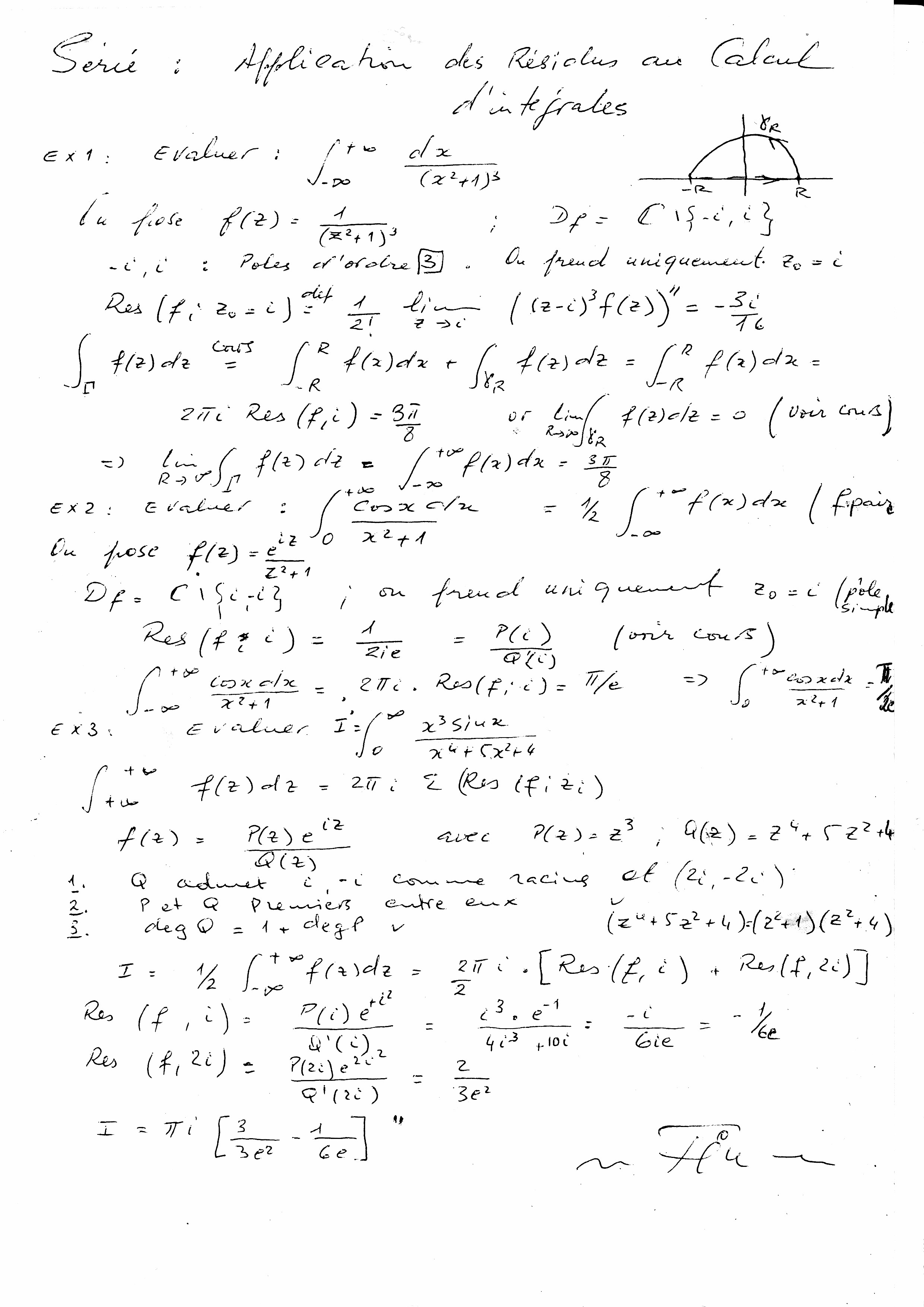
Application des Résidus au calcul d'Intégrales
/
►
Application des Résidus au calcul d'intégrales
Application des Résidus au calcul d'intégrales
◄ Les Résidus
Aller à…
Aller à…
Forum des nouvelles
Paramétrisation
Les Résidus